Kinetics#

Viewing a reaction path diagram

Viewing a reaction path diagram

Growth of diamond film using CVD

Growth of diamond film using CVD

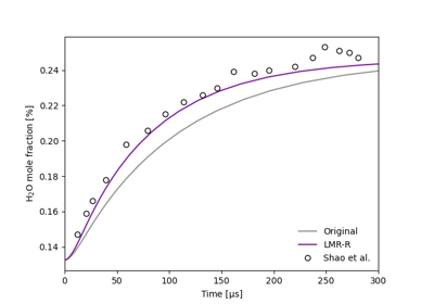
Shock-tube species profiles as a function of time

Shock-tube species profiles as a function of time

Extracting a sub-mechanism

Extracting a sub-mechanism

Mechanism reduction

Mechanism reduction

Blowers-Masel reaction rates

Blowers-Masel reaction rates

Jet-stirred reactor temperature and species profiles

Jet-stirred reactor temperature and species profiles

Lithium Ion Battery Discharge Curve

Lithium Ion Battery Discharge Curve

Custom reaction rates

Custom reaction rates

Solid oxide fuel cell using elementary kinetics

Solid oxide fuel cell using elementary kinetics

Interactive Reaction Path Diagrams

Interactive Reaction Path Diagrams